找回密码
 立即注册

微信扫码登录

搜索

[围术期无驱动] ALPI:非小细胞肺癌术后MVP辅助化疗VS单纯手术

[复制链接]
lung 发表于 2011-8-28 09:32:43 | 显示全部楼层 |阅读模式
2003年意大利的辅助化疗试验(ALPI)是继1995年NSCLCCG荟萃分析发表后第一个大样本的辅助化疗的临床研究。
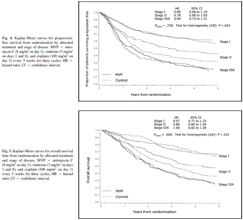
入选1 088例完全手术切除的Ⅰ、Ⅱ、ⅢA期非小细胞肺癌患者,随机分为丝裂霉素+长春酰胺+顺铂三个周期的化疗组和对照组,化疗组丝裂霉素8mg/m2 d1,长春酰胺3mg/m2 d1、8,顺铂100mg/m2 d1,21 d为一周期,共3个周期。中位随访时间64.5个月,试验结果为化疗组在改善总体生存率上无统计学差异。在该研究中,43%的患者给予术后放疗,69%的患者完成了所有3个周期的化疗,但是,化疗组在第1年的死亡率高于对照组。但Ⅱ期患者化疗组与对照组比较,在无疾病进展期和总体生存期这两项指标上有一定得益,危险比分别为0.78(95%可信区间0.60~1.03)和0.80(95%可信区间0.60~1.06),但未见统计学差异。

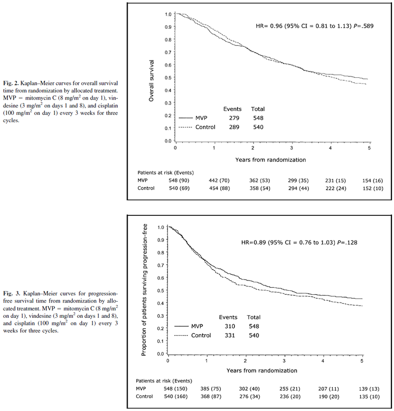
1994-1998年的意大利肺癌辅助治疗项目(Adjuvant Lung Project of Italy,ALPI)随机入组了1209例患者,其中1088例患者可评价疗效。分为单纯手术组和手术加MVP(Mitomycin C, Vindesine, Cisplatin)辅助化疗组。结果显示,至疾病进展时间(TTP)有利于MVP组,风险率(HR)为0.89,但该优势无统计学意义(P=0.12)。生存期也是MVP组略优(HR:0.96;P=0.59)。
值得注意的是,在亚组分析中,Ⅱ期NSCLC化疗的患者获得了5年生存率提高10%的益处。
截图202306101516001773.png
截图202306101516516304.png
截图202306101517286570.png
截图202306101519089708.png
Scagliotti GV, Fossati R, Torri V, Crinò L, Giaccone G, Silvano G, Martelli M, Clerici M, Cognetti F, Tonato M; Adjuvant Lung Project Italy/European Organisation for Research Treatment of Cancer-Lung Cancer Cooperative Group Investigators. Randomized study of adjuvant chemotherapy for completely resected stage I, II, or IIIA non-small-cell Lung cancer. J Natl Cancer Inst. 2003 Oct 1;95(19):1453-61. doi: 10.1093/jnci/djg059. PMID: 14519751.

回复

使用道具 举报

您需要登录后才可以回帖 登录 | 立即注册

本版积分规则

给我们建议|手机版|阳光肺科 ( 粤ICP备2020077405号-1 )

GMT+8, 2026-2-5 00:04

Powered by Discuz! X3.5

© 2001-2026 Discuz! Team.

快速回复 返回顶部 返回列表