阳光肺科

 找回密码
 立即注册

微信扫码登录

搜索

[EGFR] 瑞齐替尼(Rezivertinib,瑞必达)

[复制链接]
john 发表于 2024-5-20 12:39:02 | 显示全部楼层 |阅读模式
制剂与规格:胶囊:30mg

适应证:
适用于既往经 EGFR-TKI 治疗时或治疗后出现疾病进展,并且经检测确认存在 EGFR T790M突变阳性的局部晚期或转移性非小细胞肺癌成人患者的治疗。

合理用药要点:

1. 对于既往经 EGFR-TKI 治疗时或治疗后出现疾病进展的局部晚期或转移性患者,用药前必须明确有经国家药品监督管理局批准的检测方法检测到 EGFR T790M 突变。
2.推荐剂量为 180mg/次,每天一次,口服,餐后或空腹服用均可。使用本品过程中如出现不良事件,根据患者个体的安全性和耐受性,可暂停用药或减量。如果需要减量,则剂量应减至 120mg/次,每天一次。
3. 瑞齐替尼常见不良反应为白细胞减少症、血小板减少症、贫血、皮疹、天门冬氨酸氨基转移酶升高、丙氨酸氨基转移酶升高、食欲减退、腹泻等。
4. 无需因为患者的年龄、体重、性别对剂量进行调整。
5. 尽量避免与 CYP 酶诱导剂联合使用。

药理机制:
甲磺酸瑞齐替尼是表皮生长因子受体(EGFR)激酶抑制剂,对EGFR突变体(如EGFR T790M、L858R)具有不可逆抑制作用。

参考资料:
中国国家药监局官网 . Retrieved May 20,2024, From https://www.nmpa.gov.cn/zhuanti/cxylqx/cxypxx/20240520091549193.html
国家卫生健康委员会. 新型抗肿瘤药物临床应用指导原则(2024年版)
回复

使用道具 举报

提拉米苏 发表于 2025-1-8 16:15:13 | 显示全部楼层
脑转移(包括脑实质转移和/或脑膜转移)是肺癌常见的转移部位之一,且预后差,大约10%的非小细胞肺癌(NSCLC)患者在确诊时即已经存在脑转移,40~50%的NSCLC患者在治疗过程中会发生脑转移,多年来肺癌靶向药对NSCLC患者的脑转移疗效探索从未停止。近日,一项关于瑞齐替尼(BPI-7711)针对二线靶向治疗携带EGFR T790M突变的晚期NSCLC且中枢神经系统(CNS)转移的患者疗效汇总分析结果在国际肺癌领域知名学术期刊Lung cancer1上发表。该汇总分析研究纳入瑞齐替尼I期和IIb期临床研究(NCT03386955;NCT03812809)的相关数据,进行了多维度的CNS转移疗效分析和数据呈现。

210127kodrdwoyzytgwroi.jpg

研究结果显示:瑞齐替尼能为EGFR T790M突变NSCLC且CNS转移患者带来显著的临床获益,且安全性可控。医脉通有幸采访瑞齐替尼I期和IIb期临床试验主要研究者石远凯教授,就瑞齐替尼二线治疗CNS转移患者的疗效汇总分析进行深度解读。

脑转移是肺癌常见的转移部位之一,且预后差。相比一代和二代EGFR TKI,三代EGFR TKI在晚期NSCLC患者治疗中展现出了优秀的脑转移治疗效果。例如我们可以看到国内已上市的三代EGFR TKI在二线治疗脑转移患者的数据:首个上市的三代EGFR-TKI奥希替尼的AURA剂量拓展和AURA2试验的汇总分析结果2显示:针对至少有一个可测量的CNS病变的晚期NSCLC伴有T790M突变的患者,CNS客观缓解率(CNS-ORR)和CNS疾病控制率(CNS-DCR)分别为54%和92%;首个国产三代药阿美替尼的II期APOLLO研究数据3显示:其CNS-ORR和CNS-DCR分别为60.9%和91.3%,中位CNS无进展生存期(中位CNS-PFS)达到11.8个月;第二款国产三代药——伏美替尼的IIb期临床试验结果4显示:CNS-ORR和CNS-DCR分别为66%和100%,中位CNS-PFS达到11.6个月。

此次在Lung Cancer发表的这篇文章是我们对新的国产三代EGFR-TKI瑞齐替尼I期和IIb期临床试验数据进行的多维度汇总分析后的脑转移疗效数据呈现。

在基线时具有可测量的CNS病变的患者人群中,经独立评审委员会(BICR)评估的CNS-ORR和CNS-DCR分别为68.9%和100.0%,在所有基线时具有可测量和不可测量CNS病变的患者人群的中位CNS缓解持续时间(中位CNS-DoR)为13.8个月,中位CNS-PFS为16.5个月。瑞齐替尼有良好的透过血脑屏障的能力,脑转移的EGFR突变的患者在瑞齐替尼的治疗中能得到较长时间的临床获益。

在中枢神经全分析集(cFAS)人群中,有17.3%的患者存在既往脑放疗史,既往接受过脑部放疗的26例患者的中位CNS-PFS为NC(无法计算),124例既往未接受脑部放疗的患者的中位CNS-PFS为15.1个月。无论是否接受过脑放疗的患者,都能从瑞齐替尼的治疗中获益。

表1. 瑞齐替尼治疗晚期NSCLC的CNS疗效

210128h9s044fvol2p24u2.jpg

【注】a 该指标统计学计算基于cEFR人群。b 该指标统计学计算基于cFAS人群。

210128g1zzlo5uo1ouugcv.jpg

图1.经BICR评估的肿瘤负荷随时间的改变(cEFR人群)

210128txwvcc3vwxjmjgxc.jpg

图2.经BICR评估的靶病灶大小的最佳百分比变化(cEFR人群)

210128ud0nd503tduz1tlo.jpg

图3. 经BICR评估的CNS-PFS(Kaplan-Meier法)(cFAS人群)

医脉通:瑞齐替尼对治疗NSCLC脑转移患者有什么亮点?



石远凯教授

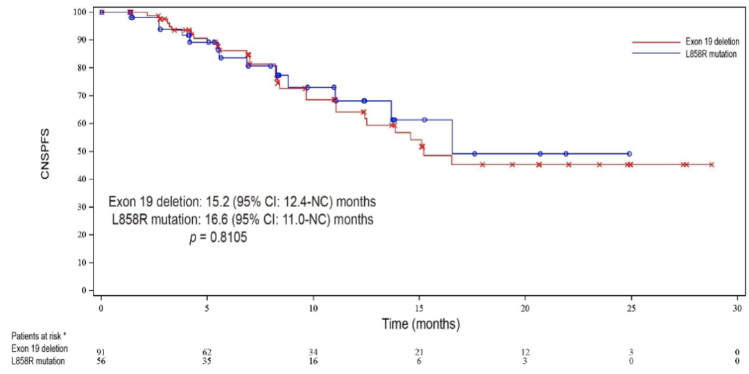
据多个文献报道,部分第三代EGFR TKI对EGFR外显子19缺失突变的晚期NSCLC患者的系统疗效或预后优于EGFR L858R突变患者。而此次脑转移汇总分析中,瑞齐替尼针对这突变两个亚组的脑转移疗效令人惊喜:在cFAS人群中,EGFR外显子19缺失突变患者的中位CNS-PFS为15.2个月,而EGFR L858R突变患者则长达16.6个月。瑞齐替尼对EGFR外显子19缺失和EGFR L858R突变这两个亚组的脑转移患者皆有优异的疗效,这是瑞齐替尼的一个亮点。

210128jpj8nqouvjko6klj.jpg

图4. 经BICR评估的基因类型亚组CNS-PFS(Kaplan-Meier法)(cFAS人群)

医脉通:瑞齐替尼作为目前唯一接受血浆阳性患者入组二线靶向治疗研究的三代EGFR-TKI,对NSCLC患者的临床实践会带来怎样的启迪?



石远凯教授

对不同EGFR T790M检测样本类型的亚组数据表明,组织样本患者的中位CNS-PFS为NC(无法计算),而血浆样本患者的中位CNS-PFS为13.9个月。由此可见,瑞齐替尼对基线血浆阳性患者具有同样可观的疗效。而在我们实际临床医疗实践中,一部分二线患者不具备组织样本采集的条件,通过血浆检测则可以大大提高患者检测的可行性。

210128gq98cqsje6o38abj.jpg

图5. 经BICR评估的EGFR T790M突变样本来源亚组CNS-PFS(Kaplan-Meier法)(cFAS人群)

医脉通:瑞齐替尼在二线治疗晚期NSCLC且CNS转移患者中的安全性表现如何?



石远凯教授

瑞齐替尼二线治疗晚期NSCLC且CNS转移的安全性耐受良好,cFAS人群中的安全性特征与FAS人群一致。从研究结果看到,治疗相关严重不良事件(Treatment-related SAE)无论是在FAS人群还是cFAS人群中的发生率都低,分别为3.1%(11/355)和1.3%(2/150);另外因治疗相关不良事件(TRAE)永久停药的在FAS和cFAS人群中的发生率均不超过4.0%。

cFAS人群的安全性数据表明,瑞齐替尼对消化系统的安全性表现较好:其中发生≥3级的腹泻和恶心的比例均为0,发生≥3级的呕吐的比例为0.7%(1/150)。另外,在瑞齐替尼I、IIb、IIa期临床试验中均未观察到间质性肺炎的发生。总体来说,瑞齐替尼二线治疗晚期NSCLC患者的安全性表现是良好可控的。

表2. 瑞齐替尼安全性数据汇总(FAS vs. cFAS)

210129w8xup8r0q83q321a.jpg

瑞齐替尼(BPI-7711)脑转移患者研究详情

研究背景

瑞齐替尼I期和IIb期临床试验二线治疗EGFR T790M突变的晚期NSCLC研究的整体疗效结果均已经发表于国际权威期刊Journal of Thoracic Oncology(胸部肿瘤学杂志)5-6,瑞齐替尼的CNS疗效在该两项研究中得到初步验证。不仅如此,已发表于BMC Medicine7的瑞齐替尼IIa期一线治疗局部进展或复发转移的晚期EGFR突变NSCLC研究结果同样报道了可喜的CNS疗效,目前,基于IIa期临床研究结果,瑞齐替尼对照吉非替尼一线治疗EGFR基因敏感突变晚期NSCLC的III期确证性临床试验REZOR(CTR20190442;NCT03866499)及相关联合治疗研究正在有序开展中。

基于瑞齐替尼I期和IIb期优异的CNS疗效数据,我们设计了该项关于瑞齐替尼二线治疗EGFR T790M突变NSCLC脑转移患者的汇总分析研究。

研究简介

这项回顾性汇总分析研究将这两项研究中每日一次口服瑞齐替尼剂量≥180mg的患者纳入全分析集(FAS),基线时具有可测量和不可测量CNS病变的患者定义为CNS全分析集(cFAS),在基线时具有可测量的CNS病变的患者被定义为CNS可评价的反应集(cEFR)。此汇总分析的评估终点是BICR评价的CNS客观缓解率(CNS-ORR)、CNS疾病控制率(CNS-DCR)、CNS缓解持续时间(CNS-DoR)、CNS无进展生存期(CNS-PFS)、CNS靶病灶与基线的最佳百分比变化(CNS-DepOR)。本研究汇总了研究者根据CTCAE 4.03版评价治疗中出现的不良事件(TEAE),并在FAS和cFAS人群中进行了安全性分析。

共有355例患者被纳入汇总分析的FAS人群,其中129例(36.3%)患者自I期研究,226例(63.7%)来自IIb期研究;共150例(42.3%)患者被纳入cFAS人群,其中45例(30%)患者被纳入cEFR。cFAS人群的基线特征与FAS人群的基本相似(表3)。在FAS中,26例患者的基线组织和血浆样本均被确认为EGFR T790M阳性,154例患者仅被确认为组织EGFR T790M阳性,175例患者仅被确认为血浆EGFR T790M阳性;在cFAS中,13例患者的基线组织和血浆样本均被确认为EGFR T790M阳性,47例患者仅被确认为组织EGFR T790M阳性,90例患者仅被确认为血浆EGFR T790M阳性。同时,在cFAS中,共有44例组织EGFR T790M阳性患者提供了基线时的血浆EGFR T790M突变结果,其中31例血浆EGFR T790M突变阴性,13例为血浆EGFR T790M突变阳性。cFAS中共有26例(17.3%)患者在入组前接受了CNS放疗。

表3. 基线特征

210129a98bljcse66p6e69.jpg

【注】 a 其它指在FAS人群中既没有EGFR外显子19缺失也没有L858R突变的患者,其中有3例患者只有EGFR T790M突变;一例具有G719X,L861Q和T790M突变;一例具有G719X,S768I和T790M突变。这5例患者中有3例被纳入cFAS人群;b 在FAS中,26例患者被确认为EGFR T790M阳性,基线时组织和血浆均呈阳性(14例来自I期研究,12例来自IIb期研究);在cFAS中,13例患者确诊EGFR T790M阳性,基线时组织和血浆均呈阳性(9例来自I期研究,4例来自IIb期研究)。

研究结论

在本次I期和IIb期的汇总分析中,瑞齐替尼二线治疗晚期NSCLC携带EGFR T790M突变和脑转移的患者具有很好的疗效,呈现了优秀的CNS-ORR,CNS-DepOR,CNS-DoR,CNS-PFS和可控的安全性。瑞齐替尼的一线脑转移疗效将在III期随机对照研究中进一步被评价。

研发背景

倍而达药业创始人张晓东博士毕业于中国兰州大学和美国马里兰州立大学,获化学制药博士学位。作为中国创新药的早期开拓者之一,多年深耕于抗肿瘤创新药研发领域。张晓东博士及其研发团队在2002年发明了一代EGFR-TKI盐酸埃克替尼原始分子BPI-2009H,并参与了该药在中国的研发和成功上市。目前,三代EGFR-TKI已经成为EGFR突变晚期NSCLC的标准一线治疗药物,瑞齐替尼(BPI-7711)作为倍而达药业自主研发的三代EGFR-TKI,有望在近期通过CDE审评,在中国大陆上市,造福广大的肺癌患者。

参考文献:

1. Shi Y, Yang S, Wu S, Zhao Y, Chen G, Zhu B, et al.Central nervous system efficacy of rezivertinib (BPI-7711) in advanced NSCLC patients with EGFR T790M mutation: A pooled analysis of two clinical studies.Lung Cancer.2023;180:107194 doi:10.1016/j.lungcan.2023.107194

2. Goss G, Tsai CM, Shepherd FA, Ahn MJ, Bazhenova L, Crinò L, et al. CNS response to osimertinib in patients with T790M-positive advanced NSCLC: pooled data from two phase II trials. Ann Oncol. 2018;29(3):687–93. doi:10.1093/ANNONC/MDX820

3. Lu S, Wang Q, Zhang G, Dong X, Yang CT, Song Y, et al. Efficacy of Aumolertinib (HS-10296) in Patients With Advanced EGFR T790M+ NSCLC: Updated Post-National Medical Products Administration Approval Results From the APOLLO Registrational Trial. J Thorac Oncol. 2022;17(3):411–22. doi:10.1016/J.JTHO.2021.10.024

4. Shi Y, Hu X, Zhang S, Lv D, Wu L, Yu Q, et al. Efficacy, safety, and genetic analysis of furmonertinib (AST2818) in patients with EGFR T790M mutated non-small-cell lung cancer: a phase 2b, multicentre, single-arm, open-label study. Lancet Respir Med. 2021;9(8):829–39. doi:10.1016/S2213-2600(20)30455-0

5. Shi Y, Zhao Y, Yang S, Zhou J, Zhang L, Chen G, et al. Safety, Efficacy, and Pharmacokinetics of Rezivertinib (BPI-7711) in Patients With Advanced NSCLC With EGFR T790M Mutation: A Phase 1 Dose-Escalation and Dose-Expansion Study. J Thorac Oncol. 2022 May 1;17(5):708–17. doi:10.1016/J.JTHO.2022.01.015

6. Shi Y, Wu S, Wang K, Cang S, Yao W, Fan Y, et al. Efficacy and Safety of Rezivertinib (BPI-7711) in Patients With Locally Advanced or Metastatic/Recurrent EGFR T790M-Mutated NSCLC: A Phase 2b Study. J Thorac Oncol. 2022;17(11):1306–17. doi:10.1016/J.JTHO.2022.08.015

7. Shi Y, Zhou J, Zhao Y, Zhu B, Zhang L, Li X, et al. Results of the phase IIa study to evaluate the efficacy and safety of rezivertinib (BPI-7711) for the first-line treatment of locally advanced or metastatic/recurrent NSCLC patients with EGFR mutation from a phase I/IIa study. BMC Med. 2023;21(1):11. doi:10.1186/s12916-022-02692-8
回复

使用道具 举报

您需要登录后才可以回帖 登录 | 立即注册

本版积分规则

给我们建议|手机版|阳光肺科 ( 粤ICP备2020077405号-1 )

GMT+8, 2025-11-22 18:38

Powered by Discuz! X3.5

© 2001-2025 Discuz! Team.

快速回复 返回顶部 返回列表