找回密码
 立即注册

微信扫码登录

搜索

[多学科] JTCVS Open | 肺癌新辅助免疫治疗承古塑新

[复制链接]
肺癌前沿 发表于 2021-9-27 00:00:00 | 显示全部楼层 |阅读模式

马上注册,阅读更多内容,享用更多功能!

您需要 登录 才可以下载或查看,没有账号?立即注册

×
广东省肺癌研究所 肺癌前沿            

ca7483d4fb5a688d0f52e3de3a92413c.jpg
背景
传统化疗时代下的围术期治疗有限的远期疗效与不可避免的毒性反应并存,随着免疫治疗介入,多项小样本单臂临床试验数据均显示新辅助免疫单药/免疫联合化疗可能较传统新辅助化疗具有更佳病理深度缓解率以及更能耐受不良反应。然而目前除Checkmate-816唯一一项已披露III期随机对照研究,并未有更多与传统新辅助化疗模式头对头比较,且816研究仅对比了免疫联合化疗数据,与单药相比是否更具优势仍需探讨,不同新辅助免疫治疗后局部手术情况如何。近期一项发表在《JTCVS Open》荟萃分析盘点了近年来发表的一系列新辅助免疫临床试验数据,同时结合既往II-III期新辅助化疗数据,为早期NSCLC新辅助治疗提供了更多具有临床参考价值的数据。

研究结论
1.新辅助免疫(免疫联合化疗为主)较传统化疗具有更高病理深度缓解率及手术切除率;
2.新辅助免疫单药影像学缩瘤降期效果可能不如传统化疗,对于临界可切除肺癌需谨慎选择;
3.对于III期肺癌,新辅助免疫治疗较传统化疗在可手术切除比例及R0切除率更具优势;
4.新辅助免疫联合化疗可能作为目前早期NSCLC新辅助治疗的优选方案。

研究结果

c5e5ad3ae2515d1c93131465e3a6725a.jpg
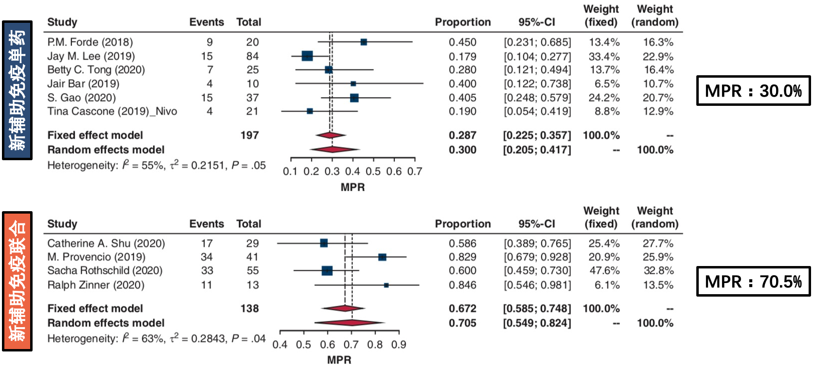
经过对不同数据库及大型肿瘤会议摘要数据筛选,最终共纳入21项新辅助免疫(单药/联合)和新辅助化疗临床试验数据。按照免疫单药,免疫联合及传统化疗分为三个组,从客观缓解率(ORR),病理深度缓解率(MPR),病理完全缓解(pCR),手术切除率及R0切除率5个维度分别比较了不同新辅助治疗模式情况。

临床疗效

edc354559e411d28f9901d4d5a2ea75e.png
鉴于新辅助化疗研究大部分开展较早,未有明确关于MPR定义,无MPR数据供参考,仅对比新辅助单药及免疫联合化疗疗效数据。

aa05df6a9492870fb8eaa9d771dcd303.png

局部手术可行性

0ea56ef9673fbdedba50aa81312c4d5b.png
此外我们也进一步对纳入研究共有临床参数进行分层分析,主要包括临床分期以及病理分型(因纳入免疫数据大部分均为摘要数据无更详细临床数据分层包括PD-L1状态),结果发现III期患者比例与新辅助免疫治疗局部手术情况无明显相关性,意味着即使肿瘤负荷更高的患者接受新辅助免疫治疗后对局部手术影响较小,但在新辅助化疗研究中观察到III期肺癌患者比例与更低手术切除率及R0切除率相关,进一步强调了新辅助免疫治疗临床应用的优势。

37b52b85585d9547a1b608731b8fb82c.jpg


讨论与思考
免疫治疗对早期肺癌围术期治疗带来的冲击无疑是巨大的,临床新辅助治疗首要目的是希望通过缩瘤降期,提高根治性手术切除率,同时一定程度清除外周循环残留,降低远处复发转移风险。
与传统化疗相比,新辅助免疫单药ORR似乎并无优势,一方面可能与免疫治疗作用机制相关。化疗以及靶向治疗可直接作用于肿瘤细胞本身,因此起效较快,在短周期新辅助治疗中能观察到明显的缩瘤,而免疫治疗的起效依赖于肿瘤细胞,新生抗原以及浸润免疫细胞相互作用的“层层迭代”,因此单纯免疫治疗在短周期新辅助治疗模式中并不占优势。
而在联合了化疗后可以看到无论是影像学缩小抑或是病理缓解均得到显著提高,2021AACR年会公布的III期随机对照研究Checkmate-816也进一步证实了新辅助免疫联合化疗具有更高病理完全缓解率与客观缓解率,同时在2021ASCO基于Checkmate-816局部手术情况分析也同样看到相比传统化疗,接受新辅助免疫联合化疗患者后续接受根治性手术治疗比例跟高,此外在不同分期人群中看到跟本研究亚组分析一致的情况,III期肺癌患者新辅助化疗后接受手术治疗患者低于I/II期患者,而在新辅助免疫联合化疗中不受影响。进一步支持了新辅助免疫联合化疗应作为目前早期NSCLC新辅助治疗优选方案。
当然围绕新辅助免疫治疗目前仍有诸多尚待解决的问题与挑战,尽管目前已有多项研究探索了PD-L1表达与病理缓解相关性,但大部分研究包括最近发表在JCO的II期单臂SAKK16/14均未发现PD-L1表达与MPR具有显著相关性,Checkmate-816研究显示ctDNA清除(ArcherDx)与pCR显著相关,提示ctDNA clearance可能作为早期新辅助免疫预测标志物,但需注意新辅助免疫联合化疗中仍有超过50%ctDNA清除患者并未达到pCR,可能需要联合多个维度指标进一步优化获益人群预测;此外对于驱动基因阳性患者(EGFR突变)而言,目前新辅助靶向治疗并未看到病理深度缓解及远期预后优势,究其原因可能是靶向治疗高度选择性及肿瘤异质性导致整体疗效并不理想,CLUMBIA研究显示新辅助免疫联合化疗即使在合并EGFR敏感突变患者中仍能取得pCR的效果提示新辅助免疫联合模式可能在部分驱动基因突变患者(高TMB,合并多个驱动基因或靶向疗效不佳基因变异等)具有一定临床应用前景,但如何识别这部分患者(突变背景和免疫微环境)仍有待进一步探讨。

52ebad67c8c0b2625131023fa9d88497.jpg

参考文献:
1.Kang J, Zhang C, Zhong WZ. Neoadjuvant immunotherapy for non-small cell lung cancer: State of the art. Cancer Commun (Lond) 2021; 41: 287-302.
2.Spicer J. Surgical outcomes from the phase 3 CheckMate 816 trial: Nivolumab (NIVO) + platinum-doublet chemotherapy (chemo) vs chemo alone as neoadjuvant treatment for patients with resectable non-small cell lung cancer (NSCLC). ASCO Annual Meeting: American Society of Clinical Oncology 2021.
         
您需要登录后才可以回帖 登录 | 立即注册

本版积分规则

给我们建议|手机版|阳光肺科 ( 粤ICP备2020077405号-1 )

GMT+8, 2026-5-18 19:06

Powered by Discuz! X3.5

© 2001-2026 Discuz! Team.

快速回复 返回顶部 返回列表