阳光肺科

 找回密码
 立即注册

微信扫码登录

搜索

[晚期局部治疗] LCT/Gomez:晚期NSCLC一线治疗后寡残留病灶局部巩固治疗

[复制链接]
newscientist 发表于 2020-9-12 10:27:03 | 显示全部楼层 |阅读模式

[Gomez]Ⅳ期NSCLC一线治疗后寡残留病灶局部巩固治疗与维持治疗或观察的比较

一线治疗后疾病未进展的寡转移NSCLC局部巩固治疗优于维持治疗/ 观察策略

【题目】多中心,随机对照Ⅱ期研究,以转移灶≤3个的Ⅳ期NSCLC为对象,比较局部巩固治疗与维持治疗或观察对患者无进展生存的影响

【背景】

回顾分析晚期非小细胞肺癌一线系统治疗失败模式发现大多数疾病进展事件发生于基线时已有的转移灶,而不是新出现的病灶。因此,对于肺外转移灶少的患者,或者病灶表现相对惰性的病灶,病人可能从局部巩固治疗(手术或放疗处理所有病灶)中获益。

已有一些回顾性研究提示局部治疗可能给寡转移患者带来获益。

【方案】

2012年11月至2016年1月,研究计划纳入94例 IV 期非小细胞肺癌患者,要求病理组织学确诊Ⅳ期NSCLC,一线治疗后随机化前没有发生疾病进展(此类病灶应该定义为寡残留病灶,oligoresidual),转移灶≤3个,ECOG PS 0-2。对于EGFR敏感突变或ALK重排的患者,一线治疗为含铂双药化疗≥4周期,或EGFR/ALK抑制剂使用≥3个月。

1:1随机将患者分配进局部巩固治疗(放化疗或切除)±后续维持治疗,或单独维持治疗。

主要终点为无疾病进展生存(PFS)(所有接受治疗且有至少一次影像学评估的患者)。

ClinicalTrials.gov Identifier: NCT01725165  [https://clinicaltrials.gov/ct2/show/NCT01725165

1541946347891766.jpg

图1. 研究方案

【资料和方法】

研究纳入74例 IV 期非小细胞肺癌患者,其中49 例患者被 1:1 随机分为局部巩固治疗组和维持治疗或观察组。

局部巩固治疗组放疗的处方剂量和分割模式主要以根治为目的,允许同步放化疗。

维持治疗组的方案包括:培美曲塞+安维汀(非鳞癌非小细胞肺癌),厄洛替尼(EGFR 突变),克唑替尼(ALK 重排)。观察组严密观察,不进行细胞毒治疗。

【结果】

该研究在49例患者随机化后因为伦理的原因提前终止。49例患者中局部巩固治疗组25例,维持治疗组24例。

中位随访时间 12.39 个月,局部巩固治疗组的中位无进展生存期(PFS)为14.4个月,远远高于维持治疗组的4.4个月 (P=0.014)。

1541946392180695.jpg

图2.无疾病进展生存(PFS)

总生存(Overall Survival,OS),局部巩固治疗组41.2个月 [未达到中位生存],显著优于维持治疗组17.0个月 [HR=0.40, 95% CI 10.1–39.8, P=0.017]。

1541946423710906.jpg

图3. 总生存(OS)

肿瘤进展后的生存,局部巩固治疗组37.6个月 [95% CI 9.0-not reached],亦显著优于维持治疗组9.4个月 [95% CI 5.9–19.6, P=0.034]。

1541946494485735.jpg

图4. 肿瘤进展后的生存

局部巩固治疗组到出现新病灶的中位时间是14.2个月,而维持治疗组则为6个月(P = .11)。

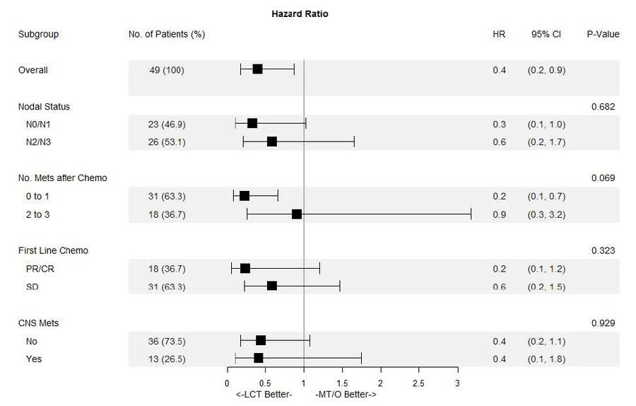
预后因素的亚组分析显示小于/等于一个转移灶者,N0-N1的病人可能获得最佳的生存。

1541946533880996.jpg

图5. 预后因素的亚组分析

不良反应:两组相似,没有 ≥ 4 级不良事件发生或死亡。维持治疗组 3 级不良反应为疲劳(1 例),贫血(1 例)。局部治疗组 3 级不良反应为食管炎(2 例),贫血(1 例),肺炎(1 例),腹痛(1 例,可能不相关)。

【结论】

晚期非小细胞肺癌一线治疗后没有进展的寡转移病灶,局部巩固治疗与维持治疗相比,可以提高患者的无进展生存时间、总生存和治疗后进展的生存。

【评论】

寡转移界于局部晚期和广泛性转移之间,给局部治疗提供了治疗窗,局部治疗可延长寡转移性结直肠癌和肉瘤的生存期。

NSCLC预后差治疗窗窄,局部巩固治疗对推迟新转移灶出现可能也有帮助,或许是降低了肿瘤的转移潜能,或许是改变了机体的抗肿瘤免疫反应。

虽然该研究还在探索阶段,但对后续寡转移NSCLC 治疗很有启发。未来应该开展以总生存为主要终点的Ⅲ期研究,以进一步检验局部巩固治疗的价值。

【相似研究】

1. Iyengar P, Wardak Z, Gerber DE, Tumati V, Ahn C, Hughes RS, Dowell JE, Cheedella N, Nedzi L, Westover KD, Pulipparacharuvil S, Choy H, Timmerman RD. Consolidative Radiotherapy for Limited Metastatic Non-Small-Cell Lung Cancer: A Phase 2 Randomized Clinical Trial.

2. JAMA Oncol. 2018 Jan 11;4(1):e173501. doi: 10.1001/jamaoncol.2017.3501. Epub 2018 Jan 11.

3. https://www.ncbi.nlm.nih.gov/pubmed/28973074

4. clinicaltrials.gov Identifier: NCT02045446

【存在的问题】

由于研究提前终止,入组例数相对较少。

没有纳入肿瘤病理学类型和分子分型因素。


【参考文献】

1. Daniel R Gomez.et al.Local consolidative therapy versus maintenance therapy or observation for patients with oligometastatic non-small-cell lung cancer without progression after first-line systemic therapy: a multicentre, randomised, controlled, phase 2 study

2. Lancet Oncology October 24, 2016.

3. Local Consolidative Therapy (LCT) Improves Overall Survival (OS) Compared to Maintenance Therapy/Observation in Oligometastatic Non-Small Cell Lung Cancer (NSCLC): Final Results of a Multicenter, Randomized, Controlled Phase 2 Trial

4. D. R. Gomez1, C. Tang1, J. Zhang1, G. R. Blumenschein2, M. Hernandez1, J. J. Lee1, R. Ye1, D. R. Camidge3, F. Skoulidis1, R. Doebele4, L. E. Gaspar3, D. L. Gibbons1, J. Karam1, B. D. Kavanagh3,4, D. A. Palma5, A. V. Louie6, A. Tsao1, B. Sepesi1, S. G. Swisher1, and J. Heymach. ASTRO, 2018


回复

使用道具 举报

Wen 发表于 2020-9-27 15:20:12 | 显示全部楼层

一线治疗后疾病未进展的寡转移NSCLC局部巩固治疗

游客,您所在的用户组(游客)暂无权限查看回复内容,请微信注册本站
回复

使用道具 举报

Wen 发表于 2020-11-11 21:25:31 | 显示全部楼层
游客,您所在的用户组(游客)暂无权限查看回复内容,请微信注册本站
回复

使用道具 举报

小李 发表于 2023-1-25 22:00:26 | 显示全部楼层

寡转移性非小细胞肺癌的治疗难题,是积极?还是保守?

游客,您所在的用户组(游客)暂无权限查看回复内容,请微信注册本站
回复

使用道具 举报

小李 发表于 2023-1-25 22:02:52 | 显示全部楼层
游客,您所在的用户组(游客)暂无权限查看回复内容,请微信注册本站
回复

使用道具 举报

pfz 发表于 2023-1-25 22:03:40 | 显示全部楼层
游客,您所在的用户组(游客)暂无权限查看回复内容,请微信注册本站
回复

使用道具 举报

杨学宁医师 发表于 2024-3-3 01:12:34 | 显示全部楼层
游客,您所在的用户组(游客)暂无权限查看回复内容,请微信注册本站
回复

使用道具 举报

您需要登录后才可以回帖 登录 | 立即注册

本版积分规则

给我们建议|手机版|阳光肺科 ( 粤ICP备2020077405号-1 )

GMT+8, 2025-11-29 15:09

Powered by Discuz! X3.5

© 2001-2025 Discuz! Team.

快速回复 返回顶部 返回列表