找回密码
 立即注册

微信扫码登录

搜索

[肿瘤病因] PM2.5空气污染物促进EGFR和KRAS等突变增加肺癌发病率

  [复制链接]
肺癌前沿 发表于 2022-9-13 00:47:03 | 显示全部楼层 |阅读模式

马上注册,阅读更多内容,享用更多功能!

您需要 登录 才可以下载或查看,没有账号?立即注册

×
原文:空气污染PM2.5暴露增加:EGFR突变肺癌元凶?

编译:广东省肺癌研究所 吴莜 张潮 钟文昭

随着胸部CT筛查普及,肺结节也成为部分健康人群挥之不去的阴影,尽管只有小部分可能是癌,但对于磨玻璃结节而言,70-80%均可能为癌前病变,原位或微小/浸润性癌。既往研究发现吸烟与肺癌发生存在显著相关性,但纵观近年来筛查发现的早期肺癌,主要以非吸烟人群为主,同时没有明确职业或致癌物暴露史,部分研究显示空气污染暴露可能与肺癌发生密不可分,但目前尚缺乏系统流行病学研究以及相关分子机制探索。今年ESMO大会,由肿瘤发生演化研究大咖Charles Swanton教授公布的一项研究,从现象,机制到干预三个维度深度剖析了空气污染与非吸烟人群,特别是EGFR突变肺癌的关系。

非吸烟肺癌分子特征

7699149f8fb5c3e690a9ee1a6e51e710.png

基于TRACERx数据结果显示非吸烟非小细胞肺癌整体突变数量较吸烟者低,且呈现低主干克隆(short trunk)突变状态,缺少环境致癌物诱导DNA突变特征。
如果要证明空气污染确实导致从不吸烟者患肺癌,就需要满足以下三点:
1.EGFR突变肺癌的发生与PM2.5水平的地域分布关系;
2.PM2.5是否促进EGFR突变前克隆的致癌发生;
3.“正常”的肺组织中(土壤)是否已存在EGFR突变的始祖细胞。


传统癌症发生模型(Classic Mutation Model)认为癌症发生主要由外界致癌环境因素导致的驱动基因变异或具有强致癌基因突变进而促使癌症发生,但也存在非常多不符合这一模型情况,比如紫外线可以导致黑色素瘤发生,但作为黑色素瘤最常见驱动基因BRAF并不是由紫外线诱导的突变,此外也有相关研究显示即使在正常组织内也同样存在癌症驱动基因克隆。

d6ddb87c17379a9cd1b045ff3e23fdfc.png



b07e134dd8556b790447a3903196a996.png

1947年由Berenblum教授提出的肿瘤驱动模型(Tumor Promotion Model)强调了始动因素(突变/种子)以及驱动因素(环境/土壤)两者协同作用,对肺癌而言,我们已知空气污染与肺癌发生相关,且非吸烟肺癌患者不存在环境诱导基因突变,因此进一步推论空气污染是否通过肿瘤驱动模式介导肺癌发生。

#1   EGFR突变肺癌与PM2.5污染水平
通过UK biobank的数据分析显示7种癌症发生与PM2.5暴露增加显著相关,此外基于英国地区流调数据显示PM2.5水平与EGFR突变肺癌发生率存在显著相关性。同时基于全球以及PM2.5相对较高的韩国以及台湾流调数据结果,同样显示PM2.5水平与EGFR突变肺癌发生显著相关。但这种相关性是否存在发生机制的因果关系呢?

48f9e050b5c0ea3f811c834c52339134.png


9c47fd8b6c94f797df11b42c3f5ed6af.png


818066183c94caae4f310845bea3f61b.png


#2 空气污染与肺癌发生
构建EGFR/KRAS突变小鼠模型,分别置于不同环境(空气污染和对照)饲养,可以观察到实验组(空气污染+突变)相比对照组(仅突变)肺癌病灶数量显著增高,且与污染程度呈正相关。

69fa9bca8e5a30c96f15fe458a01a3bf.png


#3 空气污染介导EGFR突变肺癌发生分子机制
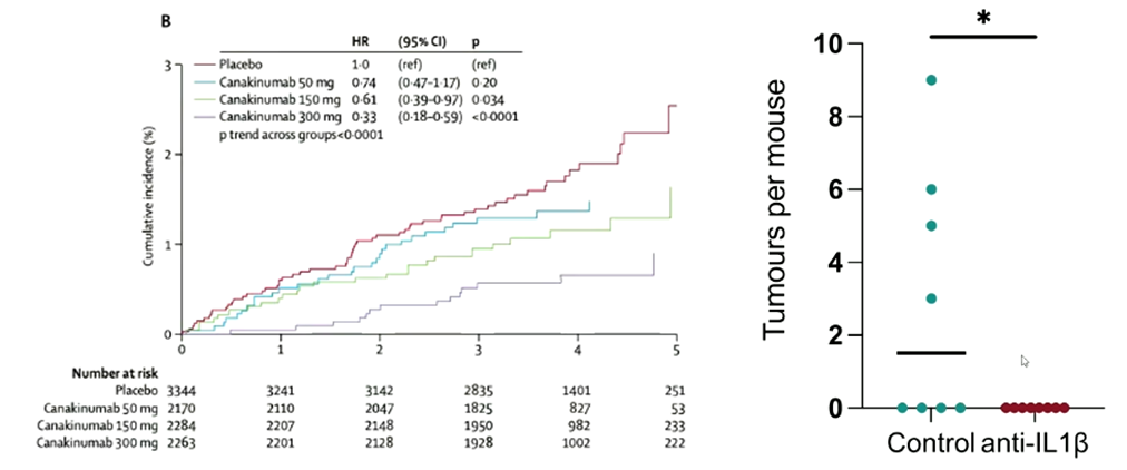
我们知道肺癌,尤其是肺腺癌主要是源于肺泡上皮细胞,其中肺泡上皮II型细胞(AT2)是EGFR突变肺腺癌祖细胞,既往研究显示炎症诱导分泌IL1b可以促进肺泡上皮再生,并诱导AT2细胞功能状态。

663667c18f46c177743ae8145387acb0.png

3.1 空气污染是否可以影响正常上皮细胞使其更容易成瘤?
基于诱导EGFR突变小鼠模型,分别进行气管内PM2.5干预以及生理盐水对照,通过收集相应小鼠肺组织进行RNA测序发现PM2.5干预组AT2细胞状态相关基因表达较对照组显著增高,同时巨噬细胞招募(IHC验证)以及警报素相关基因表达也增高。

9ca62be07f5ab31742b46ecc5c7d2f1e.png

为了进一步验证空气污染可能增强干细胞/祖细胞状态,通过体外3D共培养类器官模型发现需要同时具备突变(始动因素)以及空气污染(促进因素)才能支撑干细胞状态,但这一具体机制究竟如何。

f7ad4b8e02d02b5de51bcdbef2f05dc0.png


3.2 诱导及维持肺泡上皮干细胞/祖细胞功能状态机制如何 ?

55be1d2730fc915ef10f057ae709b567.png
基于此设计了这样一项研究,纳入10例健康非吸烟患者,分组接受PM2.5空气暴露(主要亚洲城市污染水平)以及对照室内空气2h,收集两组人群支气管刷检样本比较转录组应答差异。通过比较前面PM2.5处理小鼠模型数据以及健康人群数据发现IL1b在小鼠以及健康人群均显著上调,与前面提到IL1b维持AT2的肺腺癌祖细胞功能状态的发现不谋而合,而且CANTOS这项研究也观察到使用IL1b抑制剂似乎能显著降低肺癌发生,通过对PM2.5干预中的小鼠模型使用IL1b抑制剂后未发现肺癌发生。

6e66695159f9890aa849e093dc2e5529.png
综上,结合肿瘤驱动模型,肿瘤促进因素(环境)需要作用在已经携带突变的细胞才能介导癌症发生,那么接下来的问题是EGFR/KRAS突变是否已经存在于正常组织中。

bbdaaf499546d81aed9fd9b94ad95b60.png


3.3 EGFR/KRAS驱动突变是否已经存在于正常组织?
通过双重测序技术(Duplex sequencing is currently themost reliable method to identify ultra-low frequency DNA variants)对两个前瞻性队列的正常肺组织进行分析发现在15%正常肺组织中存在EGFR驱动突变,53%正常肺组织存在KRAS激活变异,虽然整体突变率看似比较高,但实际上这些突变仅出现在60万分之一细胞当中。进一步分析发现这些突变的出现可能主要与年龄以及包括呼吸空气等因素相关。

20f8c1597b5bad217adc74a8fc4eacaa.png


6be3d772fce0d999349e34484d972f20.png


———————————————————————
最后基于这样一项结合流调-病因-机制多维度验证的研究,Swanton教授也进一步提出了对于高危风险患者进行分子筛查愿景,同时强调了PM2.5对公共卫生危害性,环境安全面临挑战以及解决这一全球性问题迫切性。

9b2dc4cd5006281aad889e005697d65d.png


c7f471c6e069c8c24afa07d86d28f4c0.jpg


回复

使用道具 举报

志美 发表于 2022-10-21 09:38:54 | 显示全部楼层
游客,您所在的用户组(游客)暂无权限查看回复内容,请微信注册本站
回复

使用道具 举报

志美 发表于 2024-1-12 13:55:47 | 显示全部楼层
游客,您所在的用户组(游客)暂无权限查看回复内容,请微信注册本站
回复

使用道具 举报

提拉米苏 发表于 2024-1-12 13:56:49 | 显示全部楼层

80个PM2.5微粒可堵住一个肺泡:雾霾会堵死肺吗

游客,您所在的用户组(游客)暂无权限查看回复内容,请微信注册本站
回复

使用道具 举报

小新 发表于 2024-1-12 13:57:19 | 显示全部楼层
游客,您所在的用户组(游客)暂无权限查看回复内容,请微信注册本站
回复

使用道具 举报

志美 发表于 2024-1-12 13:57:34 | 显示全部楼层
游客,您所在的用户组(游客)暂无权限查看回复内容,请微信注册本站
回复

使用道具 举报

小新 发表于 2024-1-12 13:58:24 | 显示全部楼层
游客,您所在的用户组(游客)暂无权限查看回复内容,请微信注册本站
回复

使用道具 举报

您需要登录后才可以回帖 登录 | 立即注册

本版积分规则

给我们建议|手机版|小黑屋|阳光肺科 ( 粤ICP备2020077405号-1 )

GMT+8, 2026-4-18 12:30

Powered by Discuz! X3.5

© 2001-2026 Discuz! Team.

快速回复 返回顶部 返回列表